高性能电子封装材料用环氧树脂,你了解哪些?
电子封装胶是用于封装电子器件,是起到密封、包封或灌封的一类电子胶水或粘合剂。经电子封装胶封装后可以起到防水、防潮、防震、防尘、防腐蚀、散热、保密等的作用。因此,电子封装胶需要具有耐高低温,介电强度高,绝缘性好,环保安全的特点。

为什么选择环氧树脂?
随着大规模集成电路以及电子元器件微型化的不断发展,电子元器件的散热问题成为影响其使用寿命的关键问题,迫切需要具有良好散热性能的高导热胶粘剂作为封装材料。
环氧树脂具有优良的耐热性、电绝缘性、密着性、介电性、力学性能及较小的收缩率、耐化学药品性,加入固化剂后又有较好的加工性和可操作性。因此,目前国外半导体器件较多采用环氧树脂进行封装。

环氧树脂的发展
随着环境保护呼声的日益高涨以及集成电路工业对于电子封装材料性能要求的不断提高,对于环氧树脂提出了更高的要求。IC封装用的环氧树脂除了要求高纯度之外,低应力、耐热冲击和低吸水性也是亟待解决的问题。
针对耐高温和低吸水率等问题,国内外研究从分子结构设计出发,主要集中于共混改性和新型环氧树脂的合成,一方面将联苯、萘、砜等基团和氟元素引入环氧骨架中,提高固化之后材料的耐湿热性能;另一方面,通过加入几类具有代表性的固化剂,研究固化物的固化动力学、玻璃化转变温度、热分解温度和吸水率等性能,力求制备出高性能电子封装材料用环氧树脂。
几种特殊环氧树脂介绍
以下主要介绍几种电子封装用的特殊环氧树脂:
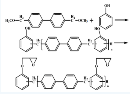
联苯型环氧树脂
通过两步法合成的四甲基联苯二酚型环氧树脂(其结构如图)经DDM和DDS固化后,展现了较高的耐热性,良好的机械性能和较低的吸水率。

另有研究者组合成了一种新型含联苯结构的环氧树脂,反应式如下图所示。DDS固化后,煮沸吸水法测得吸水率为1.53%。联苯结构的引入,耐热性和耐湿性能都有较大的改善,有利于应用于电子封装材料领域。

含硅环氧树脂
电子封装领域的另一个研究热点是引入有机硅链段,该研究既可以提高耐热性,又能增强环氧固化后的韧性,并且含硅聚合物具有良好的阻燃特性,含硅基团的低表面能致使其迁移到树脂表面,形成耐热保护层,从而避免聚合物发生进一步的热降解。
有研究者采用氯封端有机硅氧烷聚合物改性双酚A型环氧树脂,通过端基氯与环氧链上的羟基反应生成Si-O键,其结构式如下图所示。
这种方法在不消耗环氧基的前提下,提高树脂固化物的交联密度,既起到了增韧树脂的效果,又提高其耐热和耐冲击等性能。

含氟环氧树脂
含氟聚合物有很多独特的性能,氟元素具有大的电负性,电子与核之间的作用力大,与其他原子间化学键的键能大,折射率低,含氟聚合物的耐热性、耐氧化性和耐药品性能优异。
含氟环氧树脂具有防尘自洁、耐热、耐磨、耐腐蚀等性能而且还能改善环氧树脂的溶解性,同时,具有优良的阻燃性,成为电子封装领域内的新型材料。
美国海军实验室合成的含氟环氧树脂室温下为液态,具有极低的表面张力。经硅胺室温固化或氟酐固化后,可得到具有优良的强度、耐久性、低表面活性、高Tg和高极限稳定性的环氧树脂。其合成步骤为:

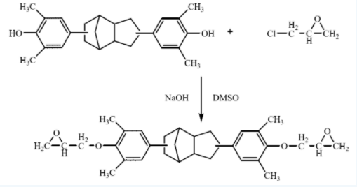
含双环戊二烯环氧树脂
通过Friedel-Crafts反应可以合成双环戊二烯邻甲酚醛树脂,反应式如下图所示。该树脂分别用甲基六氢苯酐和聚酰胺651固化剂固化,固化物的Tg分别为141°C和168°C,同单纯的E51固化树脂相比提高约20°C。

有一种新型的低介电双环戊二烯型环氧树脂(见下图)性能可以与商品化的双酚A型环氧树脂相媲美,5%热失重大于382°C,玻璃化转变温度为140-188°C,而且吸水率(100°C,24h)只有0.9-1.1%。

含萘环氧树脂
有研究者合成了一种新型含萘结构酚醛环氧树脂,反应式如下图所示。其DDS固化物表现出优异的耐热性能,Tg为262°C,5%热失重为376°C。

脂环族环氧树脂
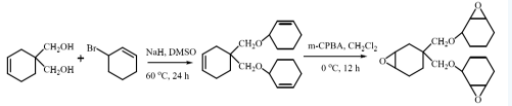
脂环族环氧树脂的特点是:纯度高、黏度小、可操作性好、耐热性高、收缩率小、电性能稳定及耐候性好等优点,特别适合高性能电子封装材料低黏度、高耐热性、低吸水性和电性能优异等要求,是极有发展前途的电子封装材料。
下图所示的是一种新型的耐热性液体脂环族环氧化合物的反应过程。将脂环族烯烃二元醇与卤代烃经醚化反应生成脂环族三烯烃醚化物,再将其进行环氧化可制得。

共混改性环氧树脂
共混是一种有效改善材料性能的重要方法。在一种环氧基质中,掺入另一种或几种环氧树脂,使基质材料的某一种或几种特定性能发生改善,从而获得综合性能更优异的新材料。在环氧模塑料中,通过共混可以达到降低成本,提高使用性能和加工性能的目标。
在未来的生产研究中,为了使环氧树脂能够全面应用于国内电子封装行业中,改进制备工艺技术、探索耐湿热高性能环氧树脂和中温耐湿热环氧树脂的固化体系,以及新型环氧树脂改性添加剂的制备是该研究领域的发展方向。








































