STA449水蒸气系统研究钢材的氧化腐蚀


STA449水蒸气系统研究钢材的氧化腐蚀
腐蚀是材料在环境因素的影响下发生反应,引起材料性能的下降或恶化。钢材中铁原子的氧化就是常见的电化学腐蚀。大多数合金的腐蚀是因为暴露在含有湿气的空气中,这类腐蚀受环境中酸、碱、卤素的影响比较大。一些常见的受控腐蚀处理,比如钝化和铬酸盐化可以增强材料的抗腐蚀性能。不锈钢是含有至少10.5% 铬的铁基合金,可以防止污染、腐蚀和生锈。可以通过热重来模拟腐蚀过程,研究温度、气氛、湿度的影响。
测试条件:
温度范围:RT…800°C
样品质量:303.12mg
加热速率:10K/min
坩埚:氧化铝
气氛:空气+50%水蒸气,160ml/min
传感器:TG,S型
测试结论:


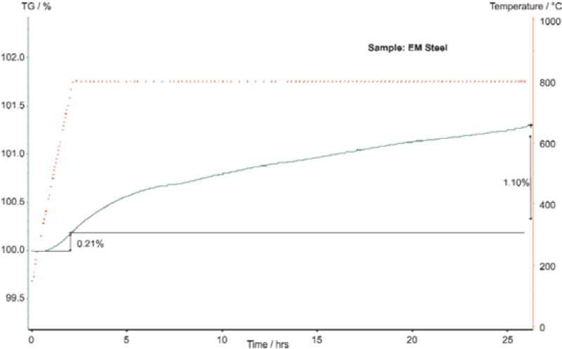
钢样品被加热到800°C恒温超过20小时,可以观察到样品由于腐蚀造成的重量增加。通过特别设计的水蒸气炉,可以调节测试气氛(0…100% 绝对湿度),还可用于热分析联用场合。有关湿度气氛的典型应用研究就是钢材的腐蚀和杂质的剥落过程。此外,水蒸气炉对钢材的氧化与脱碳过程、陶瓷材料的烧结过程、石油焦炭的水气化过程、无机建筑材料的湿气研究都非常重要。










































