如何计算复合材料的体积比和重量比?
随着复合材料工业的发展,复合材料设计工程师和复合材料制造商之间在语言上似乎有点分歧,特别是在如何描述复合材料结构中纤维与树脂的比率上。设计工程师指的是纤维/树脂的体积比,而复合材料制造商则根据结构中纤维与树脂的重量比来讨论纤维/树脂的比率。
体积比和重量比不是同一回事吗?不,当然不是,但两者存在一定的关联性。每个术语都与工程师或制造商有着非常重要的关系,而且它们对终复合材料组件的开发也都至关重要。
本文的讨论涉及湿法铺层技术,制造过程中通过使用湿树脂系统(即湿铺、树脂注入过程和树脂注入过程)浸润纤维。复合材料的基本性能可以通过实验应力分析(测试)或理论力学(微观力学)来确定,而从微观力学方法则利用复合材料组分中纤维和树脂各自的性能,以及层压板中纤维与树脂比例来计算。混合规则法适合用于推导复合材料层合板的大多数性能。例如,层压板轴向模量可通过以下公式计算:
Ex = EfVf + EmVm
其中,Ef是纤维的弹性模量;Em是基体(树脂)弹性模量;Vf是纤维体积比;Vm是基体体积比;Vf+Vm=1,零空隙。
当使用干态纤维(粗纱或布形式)制造复合材料,需将液态树脂倒在纤维上时,需要正确的纤维和树脂重量比。例如,所谓的60:40是指需要60%的纤维重量与40%的树脂重量的比率。测出树脂的重量,然后倒在纤维上并加工成预浸料,这被称为润湿纤维。
纤维体积比与重量比的关系
尽管纤维重量比很容易通过简单的称重来确定,但纤维体积比却很难确定。通常,采用ASTM测试方法,该方法需要销毁少量样品。但是,纤维体积比的测定可以从纤维/树脂重量比计算得出。详细计算步骤如下:
1、纤维重量是基于面积重量和已知或已测的平面面积;
2、加工后,测量复合层压板材料的重量;
2、加工后,测量复合层压板材料的重量;
3、树脂重量是复合材料重量和纤维重量之间的差:树脂= Wcomposite – Wfibre
4、从原料供应商提供的数据中,获得纤维和树脂系统的密度。(如果无法从供应商数据中获得,则可以通过实验确定密度。)
5、现在计算复合材料中纤维的体积:Vfibre=Wfibre/ρfibre;
6、然后确定纤维/树脂重量比和纤维/树脂密度比;
7、计算纤维/树脂的体积比:(Vfibre/Vresin)=(Wfibre/Wresin)(ρfibre/ρresin);
8、计算复合材料中的基体树脂体积比:Vm=1/{1+(Vfibre/Vresin)};
9、终计算复合材料中的纤维体积比:Vf=1-Vm-Vvoids。
4、从原料供应商提供的数据中,获得纤维和树脂系统的密度。(如果无法从供应商数据中获得,则可以通过实验确定密度。)
5、现在计算复合材料中纤维的体积:Vfibre=Wfibre/ρfibre;
6、然后确定纤维/树脂重量比和纤维/树脂密度比;
7、计算纤维/树脂的体积比:(Vfibre/Vresin)=(Wfibre/Wresin)(ρfibre/ρresin);
8、计算复合材料中的基体树脂体积比:Vm=1/{1+(Vfibre/Vresin)};
9、终计算复合材料中的纤维体积比:Vf=1-Vm-Vvoids。
示例计算如下所示:

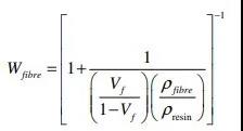
使用上述建立的函数关系,可以为所需的纤维体积比估计所需的纤维与树脂的重量比。然后,这将为实现复合材料所需的工程性能提供更可靠的方法。重新排列较早的方程式将给出以下设计表达式:

例如,如果所需的纤维体积比为60%,则使用密度比为2.0的玻璃纤维/环氧树脂系统时,纤维/树脂的重量比为75:25。而使用密度比为1.425的碳纤维/环氧树脂体系则要求纤维/树脂的重量比为68:32。后,对于密度比为1.142的芳纶纤维/环氧树脂体系,纤维/树脂的重量比为63:38。








































